2022. 3. 25. 21:00ㆍIT/Algorithm
문제 이해하기
1에서 50까지의 수로 이루어진 리스트 candidates가 있다. (1 <= candidates.length <= 100)
candidates의 원소 조합들 중 합이 target이 되는 경우의 조합들을 찾아라.
이 때, 각 원소들은 한 번씩 사용가능하며 중복되는 조합은 정답에서 제외되어야 한다.
아이디어 구상
단순히 조합을 구한다면 그리 어렵지 않은 문제다.
그러나 중복되는 조합을 제외해야하므로 약간의 트릭이 필요하다.
우선 target보다 큰 원소들은 필요가 없으니 제외시키고, 이후 Decision Tree를 그리며 생각해보자.
하나의 원소를 포함시키는 경우와, 그 원소와 같은 값의 원소들은 전부 제외시키는 경우,
위 2가지 경우로 가지를 뻗어나가자.
그렇게 되면 중복되는 조합이 생성되는 것을 미연에 방지하며 결과 리스트에 담을 수 있을 것이다.
이를 위해서는 우선 candidates가 정렬이 되어야 쉽게 풀이가 가능하다.
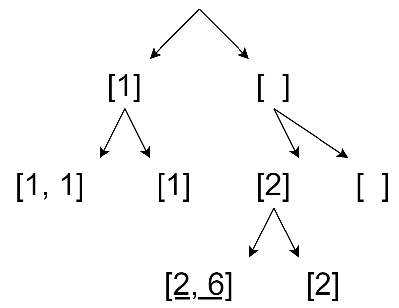
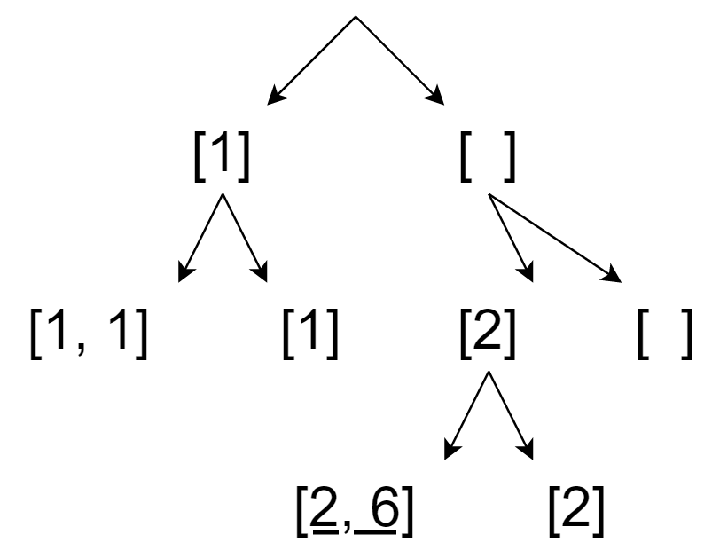
candidates = [10,1,2,7,6,1,5], target = 8인 test case를 살펴보자.
우선 candidates는 정렬이 되고 난 후, target인 8보다 큰 원소들은 제외시킨다.

이후 위 논리에 의한 Decision Tree의 일부는 다음과 같다.

이 때의 시간복잡도는 어떻게 될까?
n = len(candidates)라 할 경우, 기본적으로 Time Complexity ~ O(2 ^ n)일 것이다.
그러나 target보다 큰 원소를 제외하게 되면 n의 값은 감소할 것이고,
동일 원소를 스킵하는 등의 가지치기를 진행하기 때문에 실제 시간복잡도는 이보다 나을 것으로 생각된다.
풀이
정답을 담을 리스트를 선언하고 candidates를 정렬한다.
res = []
candidates.sort()
이후 DFS 탐색 시 target보다 큰 원소를 애초에 제외하고 탐색하기 위해 target보다 큰 원소의 index를 구한다.
last_idx = len(candidates)
if max(candidates) > target:
for c in range(len(candidates)):
if candidates[c] > target:
last_idx = c
break
dfs()의 base case는 다음과 같다.
target에서 값을 계속 빼나갈 때, 값이 0이 되는 순간 해당하는 조합을 res에 담고 return한다.
if remain == 0:
res.append(combi[:])
return
dfs()의 재귀 부분은 다음과 같다.
아이디어 구상에서 살펴봤듯이, 탐색을 진행했던 원소와 동일한 값의 원소가 있을 경우, 그 원소의 탐색은 skip한다.
이 때, 이전 원소의 값을 보관하기 위한 변수 pre를 -1로 초기화한다. (candidates의 모든 원소는 1이상이기 때문)
탐색 시 remain < 0이 될 경우, 즉, target보다 조합의 합이 더 커질 경우 가지치기를 한다.
prev = -1
for i in range(idx, last_idx):
if candidates[i] == prev:
continue
elif remain - candidates[i] < 0:
break
combi.append(candidates[i])
dfs(combi, i + 1, remain - candidates[i])
combi.pop()
prev = candidates[i]
전체 코드는 다음과 같다.
class Solution:
def combinationSum2(self, candidates: List[int], target: int) -> List[List[int]]:
res = []
candidates.sort()
# exclude elements in candidates which are greater than target
last_idx = len(candidates)
if max(candidates) > target:
for c in range(len(candidates)):
if candidates[c] > target:
last_idx = c
break
def dfs(combi, idx, remain):
# base case
if remain == 0:
res.append(combi[:])
return
prev = -1 # 1 <= candidates[i] <= 50
for i in range(idx, last_idx):
if candidates[i] == prev:
continue
elif remain - candidates[i] < 0:
break
combi.append(candidates[i])
dfs(combi, i + 1, remain - candidates[i])
combi.pop()
prev = candidates[i]
dfs([], 0, target)
return res
Leetcode 40. Combination Sum II
https://leetcode.com/problems/combination-sum-ii/
-문제해결흐름을 간단히 정리한 주관적 포스팅-
-부족한 설명이 있다면 부디 조언 부탁드립니다-
이 포스팅은 쿠팡 파트너스 활동의 일환으로,
이에 따른 일정액의 수수료를 제공받습니다
'IT > Algorithm' 카테고리의 다른 글
| Leetcode 93. Restore IP Addresses - Python (0) | 2022.03.29 |
|---|---|
| Leetcode 1980. Find Unique Binary String - Python (0) | 2022.03.28 |
| Leetcode 51. N-Queens - Python (cf. 백준 9663) (0) | 2022.03.24 |
| Leetcode 1849. Splitting a String Into Descending Consecutive Values - Python (0) | 2022.03.23 |
| Leetcode 17. Letter Combinations of a Phone Number - Python (0) | 2022.03.22 |